Álgebra

126 seguidores
Este tema está pendiente de aprobación
Preguntar

Preguntas resueltas

Pregunta en y en 4 temas más de

¿Cómo desarrollar ejercicios de calculo integral?

Sea f una función definida en los reales, con una antiderivada F, entonces su antiderivada general será G, tal que: ?(?) = ?(?) + ?, para ? = ?????????, además ?(?) = ? ′ (?) = ?′(?). Cada ejercicio se debe resolver paso por...
Pregunta en y en 4 temas más de

¿Cómo encontrar la antiderivada de una función?

Como resolver la siguiente función según el calculo integral.
Pregunta en y en 3 temas más de

Solucionar el siguiente sistema de ecuacionesutilizando los Método de eliminación de Gauss.

Me pueden ayudar a dar solucion y explicacion al siguiente ejercicio, con el metodo de eliminacion de Gauus:
Pregunta en y en 4 temas más de

Como se que las siguientes funciones exponenciales son Inyectivas, sobreyectivas, Biyectivas y funciones

Como saco el resultado para gráficar sus funciones
Pregunta en y en 4 temas más de

Como hallar una matriz A , con solo saber su adjunta Adj(A) y el signo de el determinante |A| ?

El problema es el siguiente me dan una Adj (A) del tipo 3x3 como dato, me dicen que el determinante de A es positivo y me preguntan: 1)Diga si A es invertible o no. 2)Calcule el determinante de A. 3)Calcule la matriz inversa de A. Pero para ello...
Pregunta en y en 3 temas más de

¿Cómo se llama cuando hay un cero en la parte inferior derecha de X?

Estoy estudiando para mi examen de funciones continuas de la clase de cálculo y me acabo de topar con un problema que tiene un cero en la parte inferior derecha de una X, ¿Qué es? ¿Cómo se le llama a eso?.
Pregunta en y en 1 temas más de

Determine la recta que pasa por la intersección de L1 y L2 y además es perpendicular con L3 donde:

Determine la recta que pasa por la intersección de L1 y L2 y además es perpendicular con L3 donde: L1 : x-y-5=0 ----> y=x-5L2 : 2x+y-7=0 ----> y=-2x+7L3 : y=(5/3x)-2 ----> y= 5/3x-2 Mi consulta es como se realiza este ejercicio, a pesar de haber...
Pregunta en y en 3 temas más de

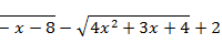
Como realizar estas ecuaciones de calculo

Problema 4. Hallar la solución de la siguiente ecuación con radicales y comprobar su solución con Geogebra. Problema 5. Hallar la solución del siguiente Sistema de ecuaciones y comprobar su solución con Geogebra.
Pregunta en y en 4 temas más de

Ecuación diferencial dar el paso a paso

Me pueden ayudar por favor con este ejercicio con el paso a paso para llegar a saber cual es la correcta respuesta
Pregunta en y en 3 temas más de

Problema ecuaciones diferenciales forma exacta

Una ecuación diferencial de la forma M ( x,y) dx + N (x,y) dy = 0 , es exacta cuando: (aM/ay) = (aN/ax), es decir, sus derivadas parciales son iguales.

Suscríbete RSS