Como realizar estas ecuaciones de calculo
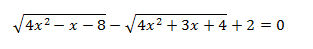
Problema 4. Hallar la solución de la siguiente ecuación con radicales y comprobar su solución con Geogebra.
![]()
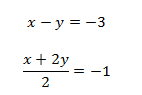
Problema 5. Hallar la solución del siguiente Sistema de ecuaciones y comprobar su solución con Geogebra.

1 respuesta
Respuesta de Lucas m
2