Te están pidiendo el desarrollo por el método Gauss-Seidel, perro el desarrollo que hiciste no es el método Gauss-Seidel.
Para el método Gauss-Seidel, debes:
1. Seleccionar la diagonal de la esquina superior izquierda hacia la esquina inferior derecha.
2. Despejar cada una de las incógnitas.
3. Reemplazar la x's por 0 para encontrar la primera iteración.
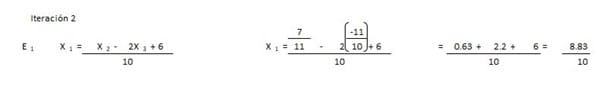
4. Sustituir la primera iteración en cada ecuación para encontrar la segunda iteración.
5. En este ejercicio te están pidiendo 5 iteraciones.
Te muestro la iteración 1, para que te sigas las iteraciones 2 a la 5.
1. Este es el sistema de ecuaciones, mostrando la diagonal:

2. Despejar las incógnitas de cada ecuación, así encontramos las 4 ecuaciones:

3. Igualar a 0 las Xs y obtener la primera iteración:

4. Llenas la tabla con la primera iteración:

5. Sustituyes los valores de las Xs en las ecuaciones:

6. Vas llenando la tabla con las siguientes iteraciones:

Te dejo un vídeo con otro ejemplo.
MÉTODO DE ELIMINACIÓN GAUSS SEIDEL - YouTube
Lo que está escribiendo si que es el método de gauss seidel. Moxx ,cuando apliques los métodos iterativos como J o GS no calcules N^-1. Si la "pasas al otro lado" deshaciéndote de la inversa y escribiendo los productos matriciales en forma de sumatorios puedes llegar a una expresión mucho más sencilla.Enlace de la fórmula final https://es.wikipedia.org/wiki/M%C3%A9todo_de_Gauss-Seidel - Alejandro Salazar