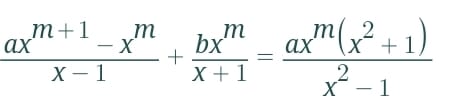
Resolución del siguiente ejercicio matemático
Me podrían ayudar con la resolución del siguiente ejercicio

1 Respuesta
Respuesta
1
Me podrían ayudar con la resolución del siguiente ejercicio
