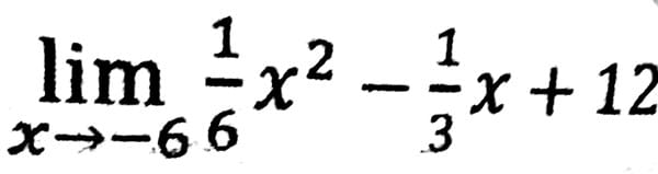
MatemáticasFísicaCálculo Hugo Oviedo el 13 jun. 21 Me harían este problema es de calcular el límite Seguir Siguiendo Dejar de seguir 1 respuesta Respuesta de albert buscapolos Ing° 1 1 albert buscapolos Ing°, Me retiro gradualmente del Foro. Gracias a todos !! . ALBERT ING. Reemplazas en la función el valor de x= -6 y haces la operación indicada... eso es todo ... el 13 jun. 21 Debería darte 20. el 13 jun. 21 - Anónimo ahora mismo Añadir comentario Usa los comentarios si quieres aportar algo a esta respuesta. No los utilices para preguntar algo nuevo. Cancelar Enviar