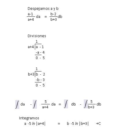
MatemáticasProfesoresCálculo fabian ortiz el 15 may. 21 Resolver siguiente ejercicio ecuaciones diferenciales Separables Seguir Siguiendo Dejar de seguir 1 respuesta Respuesta de Dante Amor 3 3 Dante Amor, https://www.youtube.com/@CursosDeExcelyMacros Solución: el 15 may. 21 - Anónimo ahora mismo Añadir comentario Usa los comentarios si quieres aportar algo a esta respuesta. No los utilices para preguntar algo nuevo. Cancelar Enviar