Me pueden decir si estoy bien con mi problema de Ingeniería económica, flujo de efectivo
Problema para resolver:
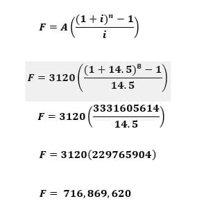
Si un analista de sistemas ahorra cada año $3,120MXN en una página crowdfunding que da un 14.5% de interés capitalizado anualmente, ¿cuánto tendrá al finalizar el octavo año?
Tengo el siguiente resultado pero quisiera saber si estoy bien.

1 Respuesta
Respuesta
1

