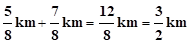
Ricardo y Daniel participan en una carrera de autos. Ricardo recorre 5/8 km y Daniel 7/8 km
¿Cuántos km recorrien juntos Ricardo y Daniel?...
1 respuesta
Respuesta de Luis Alberto Candio Salcedo
1

