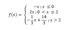
Como resolver las funciones f y g dada la gráfica

Como realizaria los puntos c.
1 respuesta
Respuesta
1

Como realizaria los puntos c.