¿Calcular los moles de hidrógeno que existen en equilibrio?
Me podrían ayudar con este ejercicio ya que me da una respuesta negativa :(
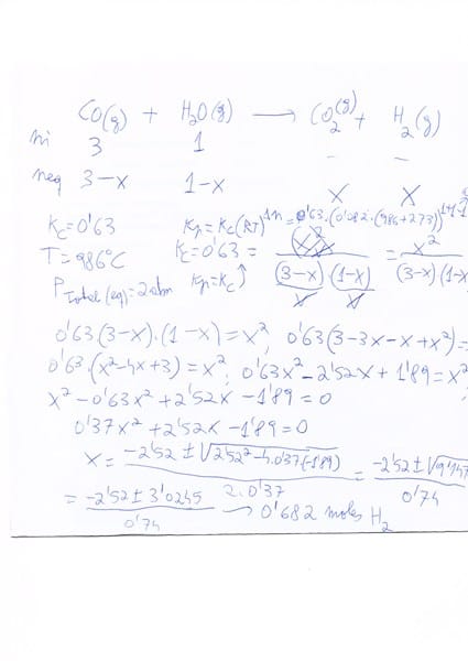
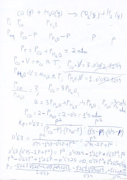
El hidrógeno se puede obtener mediante una reacción homogénea en fase gaseosa: monóxido de carbono más agua para dar dióxido de carbono más hidrógeno. La constante de equilibrio de tal reacción, a 986ºC, vale 0,63. Si partimos de 3 moles de monóxido de carbono y 1mol de agua, la presión total en el equilibrio a dicha temperatura es de 2 atm. Calcular los moles de hidrógeno que existen en equilibrio.
1 respuesta
Respuesta de Eva Garcia Pérez
1


