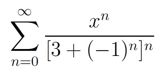
Encuentra el radio de convergencia de la siguiente serie:

Si son tan amables en ayudarme a calcular el radio de convergencia de esta serie. Saludos.

1 respuesta

Respuesta
1

La teoría la tenés en el otro ejercicio, así que ahora vamos con

$$\begin{align}&\frac{1}{r} = \lim_{n \to \infty} \frac{|a_{n+1}|}{|a_n|}\\&\frac{1}{r}=\lim_{n \to \infty} \frac{|(3+(-1)^{n+1})^{n+1}|}{|(3+(-1)^n)^n|}\\&\text{Es difícil interpretar ese límite, pero veamos un par de valores de n...}\\&n=1 \to \frac{|(3+(-1)^{1+1})^{1+1}|}{|(3+(-1)^1)^1|}=\frac{|(3+1)^{2}|}{|(3-1)^1|}=\frac{16}{2}=8\\&n=2 \to \frac{|(3+(-1)^{2+1})^{2+1}|}{|(3+(-1)^2)^2|}=\frac{|(3-1)^{3}|}{|(3+1)^2|}=\frac{8}{16}=\frac{1}2\\&n=3 \to \frac{|(3+(-1)^{3+1})^{3+1}|}{|(3+(-1)^3)^3|}=\frac{|(3+1)^{4}|}{|(3-1)^3|}=\frac{256}{8}=32\\&n=4 \to \frac{|(3+(-1)^{4+1})^{4+1}|}{|(3+(-1)^4)^4|}=\frac{|(3-1)^{5}|}{|(3+1)^4|}=\frac{32}{256}=\frac{1}8\\&n=5 \to \frac{|(3+(-1)^{5+1})^{5+1}|}{|(3+(-1)^5)^5|}=\frac{|(3+1)^{6}|}{|(3-1)^5|}=\frac{4096}{32}=128\\&n=6 \to \frac{|(3+(-1)^{6+1})^{6+1}|}{|(3+(-1)^6)^6|}=\frac{|(3-1)^{7}|}{|(3+1)^6|}=\frac{128}{4096}=\frac{1}{32}\\&\end{align}$$

Creo que se ve fácil que para n impar los términos divergen, mientras que para los pares converge a 0, por lo que la serie general terminará divergiendo.

Salu2

Añade tu respuesta

Haz clic para o

Más respuestas relacionadas