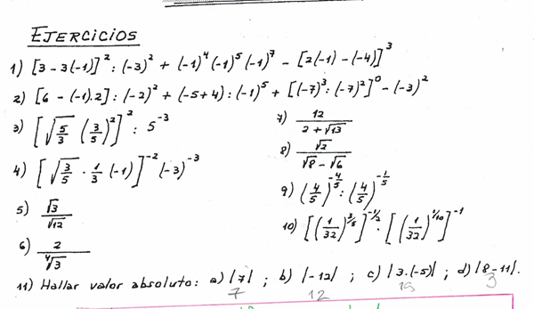
MATEMÁTICAS -operaciones combinadas, alguien me resuelve?
HOLA ALGUIEN ME AYUDAN?! Por favor! No se como resolver los ejercicios, aplicando las propiedades
1 respuesta
Respuesta
1
