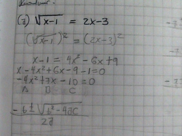
Como se resuelve esta ecuaciòn con raiz cuadrada, algo no me sale bien
Me dan esta ecuaciòn: √(x-1) = 2x-3 y tratè de resolverla pero no me sale bien, en wolframalpha sale como soluciòn 2 y a mi no, ¿qué tengo mal?, gracias.


1 respuesta
Respuesta de Alejandro Salazar
2
