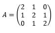
Calcular los valores característicos de A

Algebra

Calcular:

a. Los valores característicos de A.

b. Una base para los espacios característicos de A.

c. Si la multiplicidad algebraica de un valor característico es mayor que 1, indica su multiplicidad geométrica

1 respuesta

Respuesta
1

Los valores propios (CARACTERÍSTICOS)son aquellas constantes λ que vuelven el determinante |A- λI| cero (o | λI-A|, es indiferente, yo voy a usar la segunda) Recuerda que I es la matriz identidad que solo tiene 1 en su matriz diagonal

|λ-2      -1        0 |
|-1       λ-2      -1 | =
|0         -1      λ-2| 

|λ-2      -1        0 |
|-1       λ-2      -1 | 
|0         -1      λ-2|

|λ-2      -1        0 |

|-1       λ-2      -1 |

Estoy hallando el determinante agregando dos filas

El polinomio caracteristico nos queda

(λ-2)^3-(λ-2+λ-2)=λ^3-6λ^2+12λ-8-2λ+4=

λ^3-6λ^2+10λ-4

λ=2

λ=2-√2

λ=2+√2

Para comprobar que los valores propios pueden estar buenos . Si hallas el determinante de la matriz original, el valor debe ser igual a la multiplicación de los valores propios, además si sumas los valores propios te debe dar la suma de los elementos de la diagonal de la matriz. Puedes comprobar que se cumplen ambas.

Como los valores propios aparecen una vez tiene multiplicidad algebraica 1

Ahora hay que hallar los espacio nulo(kernel, núcleo) de las matrices de la forma λI-A, como tenemos tres valores hay que hacerlo tres veces

λ=2

0       -1       0 
-1       0      -1  =  f2-f1
0        -1      0

0       -1       0 
-1       0      -1  =
0        0      0

-x-z=0

x=-z

-y=0, y=0

(-z,0,z)  vector propio=(-1,0,1)

λ=2-√2

- √2     -1        0 
-1       - √2     -1  = f1<->-f2 
0         -1      - √2

1       √2          1 

- √2     -1        0  = f2+√2 f1   

0         -1      - √2

1       √2          1 

0        1          √2= f2-f3

0         -1      - √2

1     √2       1

0     0        0

0     -1  - √2

-y-√2z=0

y=-√2z

x+√2 y+z=0

x-2z+z=0

x=z

(z,-√2z,z); vector propio= (1,-√2,1)

λ=2+√2

 √2     -1        0 
-1       √2     -1  = f1+√2 f2
0         -1      √2

 √2     -1        0 
0         1        -√2
0         -1      √2

 √2     -1        0 
0         1        -√2

0        0         0

y=√2z

√2x-√2z=0

x=z

(z,√2z, z)... vector propio (1,√2, 1)

Entonces el subespacio de los vectores propios es <(1,√2,1),(1,-√2,1),(-1,0,1)>. Para hallar la base hay que ver si estos vectores son linealmente independientes. Si colocas esos vectores columna en forma de matriz y lo reduces a su forma escalonada veras que las tres columnas tienen pivote, por lo que son independientes entre si, <(1,√2,1),(1,-√2,1),(-1,0,1)> es base

Acabo de recordar, los vectores propios son siempre independientes entre si, por lo que siempre es base

Añade tu respuesta

Haz clic para o

Más respuestas relacionadas