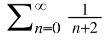
Convergencia o Divergencia de la serie

Debo indicar si es convergente o divergente la serie.
Me parece que es divergente pero no se como demostrarlo, debido a que no me sirve ni el criterio de Alembert ni de Cauchy me sirve. Y no se con cual serie compararla.
Lo que me di cuenta es que los valores que toman son 1/2, 1/3, 1/4, 1/5..... Que se parece en algo pero no del todo a la serie armónica.
2 Respuestas
Respuesta de Karl Mat
Respuesta de Antonio Miguel Servicio Tecnico