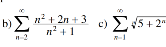
Afirmar que una serie no es convergente

Debo demostrar que estas series no son convergentes.
Mi duda es si con el limite que me de distinto a cero ya puedo afirmar que no convergen.
1 respuesta
Respuesta de albert buscapolos Ing°
1
albert, en el segundo caso, aunque considere solo los resultados positivos de la raíz tampoco converge ya que cada término tiende a 2, por lo tanto terminaría sumando infinitos '2'. Salu2 - Anónimo
O.K...Gracias Gustavo. - albert buscapolos Ing°