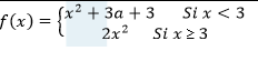
Desarrollar y Graficar función a trozos encontrando el punto de

Graficar función a trozos encontrando el punto de (a) que hace que la función sea continua.
(Geogebra). Demostrar matemáticamente y realizar el respectivo análisis.
1 respuesta
Respuesta
1
