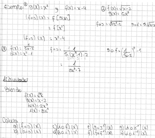
Necesito resolver estos ejercicios de matemática sobre composición de funciones y relaciones inversas

Lo de arriba son ejemplos de como debo resolverlos y después en los últimos 4 ejercicios e, f, g y h tengo que aplicar la función inversa
1 respuesta
Respuesta de Lucas m
1