Ejercicio álgebra de limites y continuidad
Me podrían ayudar en este ejercicio, agradezco su ayuda de antemano.
Ejercicio.
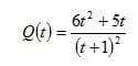
Usted como dueño de una Pyme, ha determinado que? Meses después de que se inicia la distribución de un nuevo producto, la cantidad? De unidades (en miles), está dada por:

- a) Determina la producción dentro de un año (12 meses)
- b) ¿Qué ocurre con la producción en el largo plazo? (Es decir, cuando? Tiende a infinito.)
1 respuesta
Respuesta de Lucas m
1