Diga si representa o no a una recta
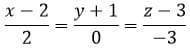
Observa la siguiente ecuación y diga si representa o no a una recta:
![]()
En caso de serlo, determine el punto de intersección y el vector paralelo a ésta.
1 respuesta
Respuesta de Norberto Pesce
1
