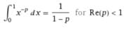
¿La integral de la función f(x)=x^(-p) entre los valores x=0 y x=1 es siempre convergente?
tenia una duda y es que me piden que calcule si integral de la función f(x)=x^(-p) entre x=0 y x=1 es siempre convergente pero, ¿Cómo se cuándo es convergente o divergente? ¿Cómo se cuánto tiene que valer p para que sea convergente o divergente y cómo lo calculo?
Esto es lo único que me dan:
![]()
1 respuesta
                    Respuesta                 
                
        
        
            
                2
              
        
        
        
            
            
        
    
                