¿Cuál es la tasa máxima de incremento?
Tasa máxima
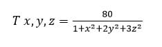
Suponga que la temperatura en un punto (?,?,?) está dada por

Donde T es medida en grados Celsius y?,?,? En metros. ¿En qué dirección la temperatura crece más rápido en el punto (1,1, −2)? ¿Cuál es la tasa máxima de incremento?
1 respuesta
Respuesta de Norberto Pesce
1
