Duda sobre Representación de limites y funciones

Como resolver la siguiente representación de limites alguien me puede apoyar.

1 respuesta

Respuesta
1

;) 
Hola Angy!

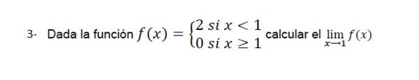
Una función es continua en un punto si la imagen y el límite en ese punto son iguales:

$$\begin{align}&\lim_{x \to   a}f(x)=f(a)\\&1)\\&\lim_{x \to   0}f(x)=\lim_{x \to   0}x=0\\&f(0)=0\\&Continiua\\&\\&2)\\&\lim_{x \to   0^-}f(x)=\lim_{x \to   0}1=1\\&\\&\lim_{x \to   0^+}f(x)=\lim_{x \to   0^+}(-1)=-1\\&==>\\&\not \exists \ \ \lim_{x \to   1}\\&\not \exists \ f(0)\\&==> Solo \ Es \ discontinua \ en \ x=0   \\&\\&3)\\&f(1)=0\\&\lim_{x \to   1^-}f(x)=2\\&\lim_{x \to   1^+}f(x)=0\\&\\&==>\\&\not \exists \lim_{x \to   1} \\ \text{porque los límites laterales no coinciden}\end{align}$$

;)
Si votas Excelente, seguiré contestando a tus dudas

Puedes cambiar tu voto aquí abajo

;)

;)

||*||

;)

;)

Añade tu respuesta

Haz clic para o

Más respuestas relacionadas