6. El método de variación de parámetros para dar solución a una ecuación diferencial de tercer orden establece que primero se en
6. El método de variación de parámetros para dar solución a una ecuación diferencial de tercer orden establece que primero se encuentra la función complementaria
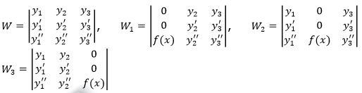
y después se calcula el wronskiano
Posteriormente se determina ?(?), para poder encontrar
y
y poder hallar la solución particular mediante la integración de
donde

Una solución particular es
y la solución general de la ecuación diferencial es entonces
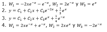
Con base en lo anterior, los valores para
y la solución general de la ecuación
son respectivamente:

Por favor necesito ayuda tengo que escoger la respuesta correcta y y el resolverla explicando su proceso
------------------------------------------------------------------------------------------------------------------------------------------------------------------------------------------------------------------------------------------------------------------------------------------------------------------------------------------
-----------------------------------------------------------------------------------------------------------------------------------------------------------------------------------------------------------------------------------------------------------------------------------------------------------------------------------------------------------------------------------------------------------------------------------------------------------------------------------------------------------------------------------------------------------------------------------------------------------------------------------------------------------------------------------
