Como resolver este ejercicio de calculo Contracción de Lorentz
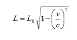
Una regla que tiene una longitud propia de 1,5 m se mueve en una dirección a lo largo de una línea recta con velocidad relativa v respecto a un observador. Éste, mide la longitud de la regla
y su resultado es 1,492 m. ¿Cuál es la velocidad v en términos de c?

Respuesta de albert buscapolos Ing°
1
1 respuesta más de otro experto
Respuesta de Boris Berkov
2