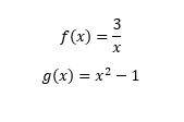
Encontrar funciones compuestas.¿ Cual es el dominio y recorrido?,¿Son iguales ambas funciones compuestas?
Encontrar las funciones compuestas (f o g)y(g o f) ¿Cuál es el dominio de cada función compuesta?
¿Son iguales ambas funciones compuestas?
Se les agradece su apoyo de parte de todos.
A nuestro profesor no le gusta que le pregunten
1 respuesta
Respuesta
1

Exactamente Gustavo... tuve algunos profes... que "tocaban de oído" unas pocas melodías.jajaja. - albert buscapolos Ing°