Necesito resolver la siguiente ecuación
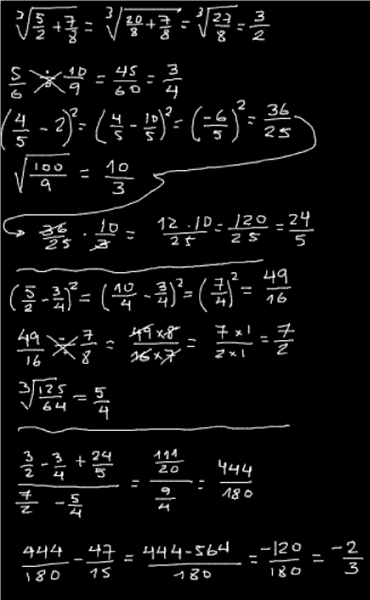
Resolver y simplificar la siguiente ecuación para continuar con la actividad

1 respuesta
Respuesta de Llaq Kmg
Resolver y simplificar la siguiente ecuación para continuar con la actividad
