Error en una serie de Taylor
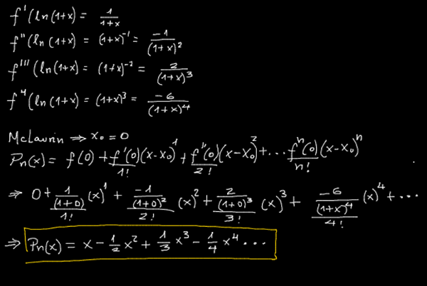
a) Calcula el desarrollo en serie de Maclaurin de la función f (x) = ln(1+x).
b) Determina cuántos términos de la serie anterior son necesarios para calcular ln(1,2) con un error menor o igual que 10^(-4)
c) Se define la función g(x) como la integral de ln(1+t)/t entre los límites de integración "x" y "0". Calcula g(0,1) con un error inferior a 10^(-3).
1 Respuesta
                    Respuesta de Llaq Kmg                
                
        
        
            
                1
              
        
        
        
            
            
        
    
                


        
Yo estaba a cargo de la pregunta je je, pero gracias... ahora lo se tiene que hacer es hallar el grado posible que hace que la aproximación tenga un error estrictamente menor que 10^(-3) (literal c), para eso, puedes apoyarte en la fórmula del resto para calcular el error... de esa manera garantizas el grado más cercano y el literal b, es de manera análoga. Si gustan pueden intentar terminarlo... busquen la fórmula del resto para hallar el error... obtengas las derivadas necesarias... y tendrán el grado requerido. Con todo en las próximas horos lo estaré subiendo. Saludos - Santiago Seeker