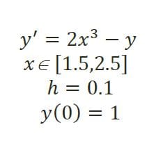
Dar solución numérica a la siguiente ecuación
Agradezco colaboración con la siguiente solución numérica por medio del método Runge - Kutta de esta ecuación en la cual se detallen los pasos a seguir en su desarrollo. Muchas gracias.

1 respuesta
Respuesta de Lucas m
1
