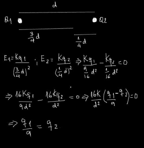
Dos cargas Q1 y Q2 están separadas a una distancia d. Si el campo eléctrico es cero a una distancia 3d/4 desde Q1.Relación q1,q2
Cual es la relación entre Q1 y Q2.
2 respuestas
Respuesta de albert buscapolos Ing°
Respuesta de Llaq Kmg

