Ecuaciones Diferenciales de 1er. Orden

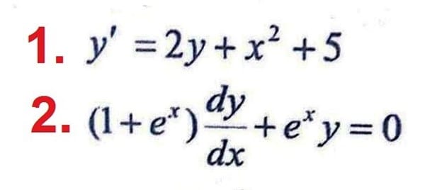
Por favor una ayuda con estos 2 ejercicios de Ecuaciones Diferenciales de 1er. Orden. Daré un buen puntaje.
1 respuesta
Respuesta de Lucas m

Por favor una ayuda con estos 2 ejercicios de Ecuaciones Diferenciales de 1er. Orden. Daré un buen puntaje.