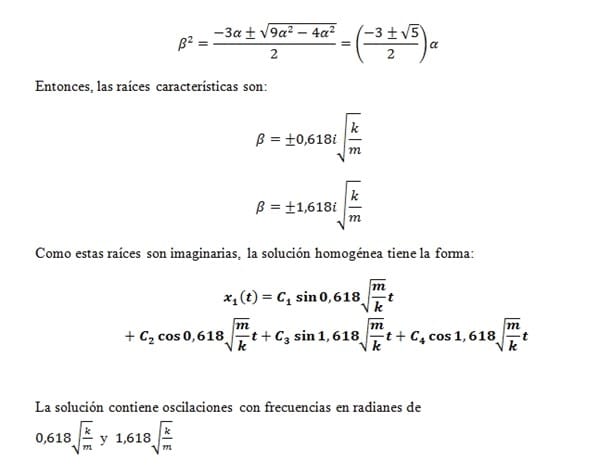
Quien me corriga con el siguiente ejercicio que es incorrecto
Alguien me pude ayudar a corregir este ejercicio ya que es incorrecto



1 respuesta
Respuesta de Mario Gomez
-1