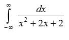
La integral es convergente o divergente
Me colaboran con el procedimiento de esta integral para determinar si es convergente o divergente.
Gracias.

1 respuesta
Respuesta de Lucas m
2