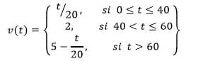
Un objeto tiene el origen en el instante t=0 Tiene velocidad, medida en m/seg con los siguientes datos(adjunto)evaluar integral
Un objeto en el origen en el instante? = 0 tiene velocidad, medida en metros por segundo

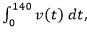
Evaluar la integral
de acuerdo con las anteriores consideraciones.
Este es un problema de calculo integral aplicado a la física. Donde se pretente hallar la integral definida en el intervalo indicado.
1 respuesta
Respuesta
1

