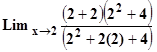
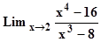
COMO puedo factorizar el siguiente L i m i te
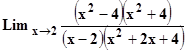
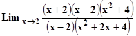
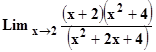
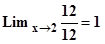
$$\begin{align}& \lim_{x \to 2} \ \ \ {x^4-16\over x^3-8} \end{align}$$
1 respuesta
Respuesta de Luis Alberto Candio Salcedo
2




