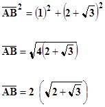
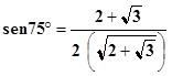
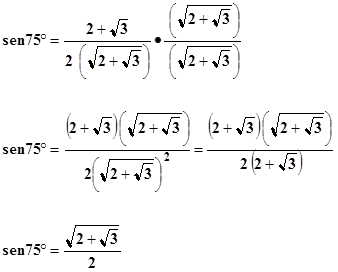
Demuestra de acuerdo a la figura que sin75°=√(2+√3) /2
Geometría
En la figura aparece una semicircunferencia con centro O.

Utiliza esta figura, asignando las medidas que creas convenientes para demostrar que:
$$\begin{align}&sin75°=(√(2+√3)) /2\end{align}$$
1 respuesta
Respuesta de Luis Alberto Candio Salcedo
1




