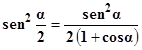
Demuestra: sen^2 α/2=1- cos α/2. De acuerdo a la figura...
Geometría: Trigonometría y Circunferencia
Demuestra:
$$\begin{align}&sen^2 (α/2)=(1- \cos α)/2\end{align}$$De acuerdo a la siguiente figura:

1 respuesta
Respuesta de Luis Alberto Candio Salcedo
2



