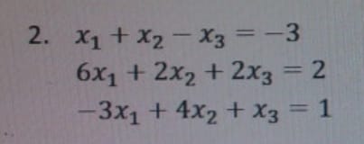
Utilizando el método de eliminación gaussiana simple.
Resolver el siguiente sistemas de ecuaciones

1 respuesta
Respuesta de Lucas m
1
Resolver el siguiente sistemas de ecuaciones
