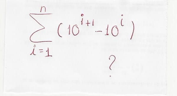
¿Como se resolvería esta sumatoria ?

El resultado según el libro dice que seria: 10^(n+1) -10^(n), pero no se como se llega a ese resultado !
1 Respuesta
Respuesta de Lucas m
1
