Actividad pública reciente
Ha valorado "Excelente" la respuesta
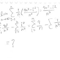
Que es lo que tengo mal en este ejercicio de área de la región
Ha valorado "Excelente" la respuesta
