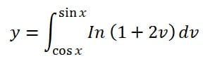
Determine la derivada de la siguiente función
Calculo Integral
Determine la derivada de la siguiente función

2 respuestas
Respuesta
1
Respuesta de Lucas m
1


Hola Omar!Confundiste la integral del lnx con su derivada. Saludos;) - Lucas m