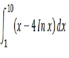
Problema: Exprese la integral como un límite de sumas de Riemann
Calculo Integral
Exprese la integral como un límite de sumas de Riemann. No evaluar el límite.

Respuesta de Nelsy orozco duque
1