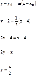
Cuál es la ecuación de la recta que pasa por P1 ( -6, -3) y P2 (4, 2) ?
$$\begin{align}&A((\ \ \ {x^2\over9}+{y^2\over4}=1\\&\\&B(( \ \ \ y={y\over2}\\&\\&C(( \ \ \ y=-{x\over2}\\&\\&D(( \ \ \ y=-{y\over2}\\&\end{align}$$
1 respuesta
Respuesta de Luis Alberto Candio Salcedo
2

