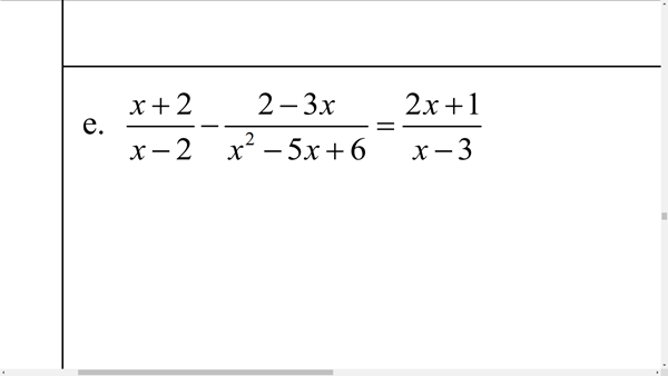
¿Cuál es el C.V.A y C.S de esta ecuación racional?

¿Cuál es el C.V.A y conjunto solución de esta ecuación? Dsf sdfsd fsf
Sdfg sdf gsdf retr ter rt e
Sfgdfs g
1 Respuesta
Respuesta de Lucas m
1