Recta pasa por los puntos A y B cual es su ecuacion
¿Si la recta pasa por los puntos A(5,7) y B(-4,3) cual es la ecuación de la recta?
A) 10x+y-37=0
B) 4x-9y+43=0
C) 4x+9y-11=0
D) 10x -y +43=0
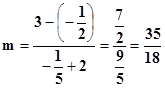
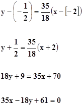
Si la recta pasa por los puntos A(-2, -¿1/2) y B(-1/5,3) cual es la ecuación de la recta?
A) 11x+2y+21=0
B) 25x + 22y -61 =0
C) 35x-18y+61=0
D) 36x-70y+1=0
2 respuestas
Respuesta de Lucas m
1
Respuesta de Luis Alberto Candio Salcedo
1


