Como hallar angulo de inclinación ?
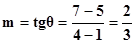
El ángulo de inclinación de una recta que pasa por los puntos P(1, 5) y Q(4, 7) mide aproximadamente
A ) 80° 30’
B) 56° 20’
C) 33° 40’
D) 9° 30’
1 respuesta
Respuesta de Luis Alberto Candio Salcedo
1
