Calcular las siguientes derivadas de orden superior
Dada
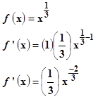
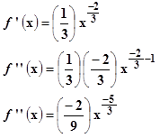
$$\begin{align}&f(x)=∛x\end{align}$$Hallar
$$\begin{align}&f''(x)\end{align}$$
1 Respuesta
Respuesta de Luis Alberto Candio Salcedo
1



