;)
Hola Gabriel!
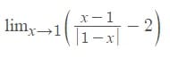
Para hacer ese límite,primero se tienen que calcular los límites laterales , ya que en x=1 el valor absoluto |1-x| cambia de positivo a negativo:
$$\begin{align}&\lim_{x \to 1^-} \Bigg( \frac{x-1}{|1-x|}-2 \Bigg)= \lim_{x \to 1^-} \Bigg( \frac{x-1}{1-x}-2 \Bigg)=-1-2=-3\\&\\&\lim_{x \to 1^+} \Bigg( \frac{x-1}{|1-x|}-2 \Bigg)= \lim_{x \to 1^+} \Bigg( \frac{x-1}{-(1-x)}-2 \Bigg)=\lim_{x \to 1^-} \Bigg( \frac{x-1}{|1-x|}-2 \Bigg)= \\&\lim_{x \to 1^-} \Bigg( \frac{x-1}{x-1}-2 \Bigg)=1-2=-1\\&\\&===> \not \exists \ \lim_{x\to1}\\&\end{align}$$
como los límites laterales en x=1 son diferentes, no existe el límite en x=1.
En x=1 hay una discontinuidad de salto

Saludos y recuerda que debes de votar las respuestas
;)
;)