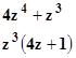
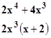
Tarea de matemáticas tarea de factorizacion
Es una Tarea de matemáticas de factorizar factorizacion resolver

1 respuesta
Respuesta de Luis Alberto Candio Salcedo
Es una Tarea de matemáticas de factorizar factorizacion resolver
