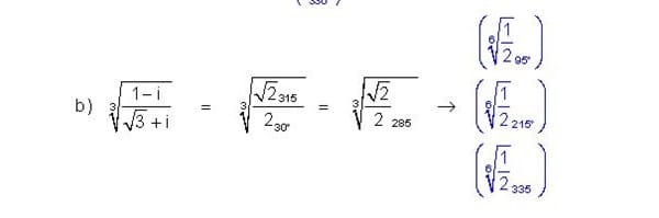
Raíz de un número complejo

De este ejercicio no entiendo nada de nada. He intentado dividir lo que está dentro de la raíz (para buscar la parte real y la imaginaria del nº complejo) y no me da nada razonable. ¿Cómo llegan ellos a la solución que dan?
Respuesta de Kvothe Orwell
1
1 respuesta más de otro experto
Respuesta de Lucas m
1
